by Luxolo Mdolo
Schizophrenia is the 6th leading cause of years of life lost to disability in men and it ranks 6th in women. A reflection of the detrimental impact schizophrenia has on the quality of life of the world population. A Swiss Psychiatrist, Eugen Bleuler described this condition as a “divided mind” where there is a disconnection between brain functions while the patient oscillates between normal and abnormal states.
Schizophrenia is often treated with combinations of medicinal, psychosocial and individualized therapies. However, Yang et al. recently explored the effectiveness of music therapy in the treatment of schizophrenia. This study follows up from epilepsy research that has proven the effect of Mozart Sonata K.488 on improving brain function in the diseased state. In this study, the researchers were investigating the effects of music intervention on the functional connectivity strength of the brain in schizophrenia.
Subjects of the study were grouped into (1) healthy controls, (2) participants suffering from schizophrenia who would receive the music therapy and (3) participants suffering from schizophrenia who would continue receiving medicinal treatment for a month. Functional connectivity strength was tested using resting-state fMRI and schizophrenia symptoms using multiple psychiatric tests. The fMRI would show any brain functional activity improvement from baseline and the psychiatric symptom tests would correlate the improvements in brain function to improvement in schizophrenia symptoms.

The results below showed that music therapy improved functional connectivity of the middle temporal gyrus that is responsible for language and semantic memory processing, visual perception, and multimodal sensory integration. It is interesting that after 1 month of music therapy treatment, it is only the treated group that showed such improvements, and the controls show similar results to baseline.

In the graph below, the treated individuals were followed up for 5 months after they stopped the treatment at 1 month, and the results showed that their improvement declined back to baseline. This showed us that music therapy does not offer long lasting effects. However, this calls for further research to investigate how the effects of music therapy can be prolonged and how the improvements can be maintained.

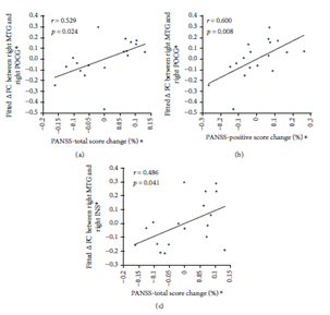
The results below also showed a positive correlation between functional connectivity improvement and symptom improvement in the schizophrenic patients treated with music therapy.

Reference
WebMD. 2020. Mental Health and Schizophrenia. Available at: https://www.webmd.com/schizophrenia/mental-health-schizophrenia
Yang, M., He, H., Duan, M., Chen, X., Chang, X., Lai, Y., Li, J., Liu, T., Luo, C. and Yao, D., 2018. The Effects of Music Intervention on Functional Connectivity Strength of the Brain in Schizophrenia. Neural Plasticity, 2018, pp.1-10.

Leave a comment