By Karabo Tisane
Melatonin is a hormone primarily produced by the pineal gland in the brain (1). Its secretion is stimulated by darkness, and its maximal circulating peak concentration is typically observed between 2-4am. This rhythmic endogenous secretion is regulated by the suprachiasmatic nuclei which form part of the brain’s internal clock that is sensitive to light and dark cues. Melatonin therefore plays a central role in stabilising and strengthening the circadian rhythms which are natural internal processes that regulate the sleep-wake cycle.
Due to melatonin being mainly secreted at night it is known as the sleep hormone. People with various sleep disorders and mood disorders have dysfunction in melatonin physiology. As a result, synthetic melatonin is prescribed for insomnia, and it is commonly used to treat jet lag. However, the role of melatonin extends far beyond regulating sleep.
To better understand these broader functions, several review articles were consulted. The authors compiled original papers from PubMed and Scopus databases, and key words like “melatonin”, “Mediterranean diet”, “Antioxidant food”, just to name a few were used to come up with papers to review. A reverse search through the reference lists of relevant articles was also used to ensure comprehensive coverage of the topic. The collective findings from these reviews offered a more expansive understanding of melatonin’s role in human health.
One of melatonin’s most remarkable properties is its potent antioxidant power which is significantly more potent than Vitamin E at neutralising harmful reactive oxygen species. The antioxidant properties of melatonin contribute to a wide range of health benefits, including protection of the heart and brain, slowing cellular ageing, and reducing damage after injury in multiple organs. Melatonin is effective in reducing early cognitive decline and has anti-ageing capabilities as well as immune modulatory effects due to its ability to enter cells.
Melatonin plays a role in glucose metabolism through modulation of the glucose transporters, helping the body to absorb glucose after meals. This contributes to improved glucose tolerance, reduced risk of obesity and diabetes. On the other hand, melatonin inhibits glucose transporters 2 which are found in cancer cells and are responsible for supporting tumour growth. The potential anticancer effects of melatonin surely can’t be ignored, highlighting the importance of understanding its natural sources and how we can harness them.

Figure 1: Functions of melatonin in the body.
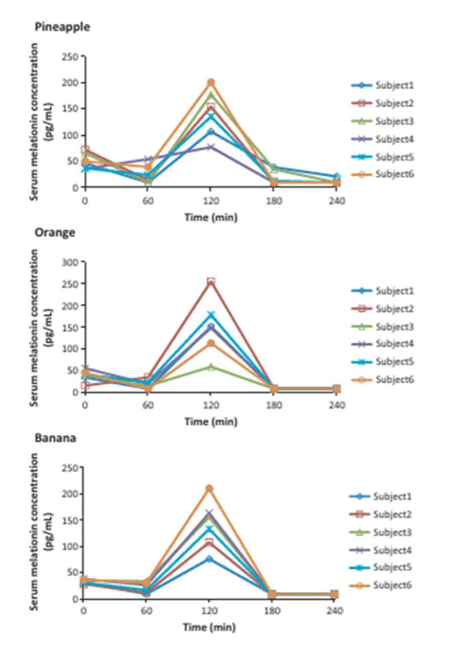
And here’s something you might not know, melatonin is also found in food (2). That means you may be able to enjoy its benefits without reaching for a supplement. Foods rich in melatonin include nuts, milk, fish grapes, wine and tropical fruits which are all able to raise serum melatonin levels and enhance antioxidant activity in the body.

Figure 2. Increased serum melatonin levels 120 minutes after consumption of tropical fruits (3)
While melatonin is best known for helping us sleep, it is increasingly recognised as a multifunctional hormone with important roles in metabolism, cell protection, and even cancer biology. As research continues, we may uncover even more reasons to appreciate this nighttime hormone both in the lab and on our plates. Future studies may help clarify how dietary melatonin contributes to health and how individual factors influence its effectiveness and optimal intake. Fuel the Boss in You, One Melatonin Bite at a Time.
References
- Munoz-Jurado A, Escribano BM. Presence of melatonin in foods of daily consumption:The benefit of this hormone for health. Food Chemistry. 2024;458:140172.2.
- Pereira GA, Gomes Domingos AL, Aguiar ASd. Relationship between food consumptionand improvements in circulating melatonin in humans: an integrative review. Critical Reviews inFood Science and Nutrition. 2022;62(3):670-8.3.
- Sae-Teaw M, Johns J, Johns NP, Subongkot S. Serum melatonin levels and antioxidantcapacities after consumption of pineapple, orange, or banana by healthy male volunteers.Journal of pineal research. 2013;55(1):58-64.

Leave a comment