by Zama Mngadi
Tuberculosis (TB) remains a global health challenge claiming 1,5 million lives annually and 10 million new cases (WHO, 2022). This demands innovative research to unravel its pathogenesis, diagnosis, and effective treatment regimen. In 2017, Namuganga et al., issued an insightful article exploring the suitability of saliva as an alternative diagnostic medium. Traditionally, serum samples have been the primary choice for TB diagnosis. In this blog post, lets delve into the findings of this study and present a comparative analysis of saliva and serum for TB diagnosis.
This study was conducted in a tertiary care hospital in Mulago, Uganda and ethical approval was obtained from the hospital’s ethics committee, informed consent was obtained from the participants. Saliva samples were collected using salivette collection tubes. A small volume of saliva was collected from each participant, blood samples were collected via venipuncture using sterile collection tubes, then allowed to clot before centrifugation. During the first two hours of saliva sample collection, the sample was centrifuged to remove debris and extract the supernatant for further examination, whereas serum samples clot for 30 minutes and then centrifuged to separate the serum. The TB-specific markers were detected using 10 plex customised kit from Bio-rad Laboratories for both serum and saliva samples.
Here are a few advantages why saliva is a suitable diagnostic mechanism.
1. Transportation: Saliva samples are easier to transport because they do not require refrigeration or special handling.
2. Non-invasive: collecting saliva is painless and easy compared to drawing blood for serum samples, this alleviates people (young or old) from the discomfort caused by needles.
3. Cost-Effective: saliva sample collection is cheaper than drawing blood since there is no need for phlebotomy equipment and healthcare workers.
4. Reduced chances of contamination: Serum samples can be prone to contamination during collection and transportation; however, saliva samples are less likely to be contaminated, ensuring more accurate results.

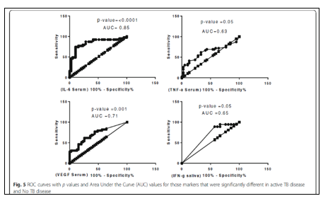
The figure above is a result showing comparison of the sensitivity of saliva and serum for TB diagnosis. The higher the sensitivity is directly correlates with a test’s ability to correctly identify individuals with the disease. Surprisingly, the study found that saliva exhibited comparable sensitivity to serum. This result infers that that saliva can reliably detect the presence of TB pathogens, making it a viable alternative for diagnosis.
It is worth highlighting that this research demonstrates that saliva is a reliable alternative to serum for diagnosing TB. Interestingly, saliva offers numerous advantages, with the results which are promising for improving TB diagnosis, especially in lower income countries where access to traditional serum-based testing may be limited. It is imperative that there is research and development of new diagnostic methods that are efficient, accessible, and patient-friendly. The use of saliva as a diagnostic medium for TB is a significant step in this direction. A saliva-based test can change the game in the fight against TB achieving timely and accurate diagnoses to help to combat the spread of this infectious disease.
Reference
Anna Ritah Namuganga, Novel N. Chegou, Paul Mubiri, Gerhard Walzl and Harriet Mayanja-Kizza. Suitability of saliva for Tuberculosis diagnosis: comparing with serum. BMC Infectious diseases. (2017) 17:600. DOI 10.1186/s12879-017-2687-
World health organisation. Tuberculosis report 2022

Leave a comment